Abstract
Background: Busulfan (BU) followed by Cyclophosphamide (BU-CY)is one of the most commonly used myeloablative conditioning(MAC) regimens in allogenic Hematopoietic Stem Cell Transplant (HSCT).BU is not inherently hepatotoxic but decreases the levels of glutathione which is critical in the metabolism of toxic CY metabolites.This has been implicated in the higher rates of Sinusoidal Obstruction Syndrome (SOS) with this protocol due to increased sinusoidal endothelial cell injury. Reversal of the protocol i.e cyclophosphamide followed by Busulfan (CY-BU) has been shown to reduce the rates of SOS, especially in myelofibrosis patients.
Aim: We retrospectively analysed 25 patients who were given CY-BU as MAC from Jan 2015 to June 2017 for effect on SOS and overall D100 mortality and morbidity in these patients.
Patients and methods: Since Jan 2015 we adopted protocol of CY-BU conditioning for all matched sbling donor (MSD) myeloablative transplants at our bone marrow transplant (BMT)center, which included patients of thalassemia major. Briefly CY-BUprotocol consists of CY 60mg/kg on days -7 and -6 followed by intravenous BU 3.2 mg/kg on days -5 to -2 (total 04 days). In patients of thalassemia anti thymocyte globulin (ATG) was administered on day-1 as part of conditioning. All patients received cyclosporine and methotrexate as graft versus host disease (GVHD) prophylaxis. All patients were monitored daily from D-7 to D+30 post HSCT for development of SOS. SOS was defined as per Baltimore criteria and patients meeting criteria for SOS were classified as mild, moderate or severe SOS. All patients were monitored every week after D+30 for presence of GVHD or any other complications till D +100.
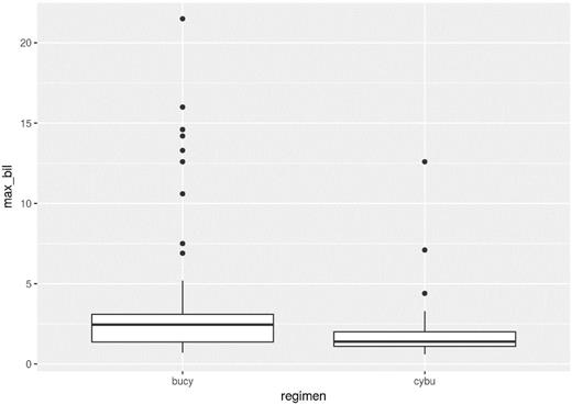
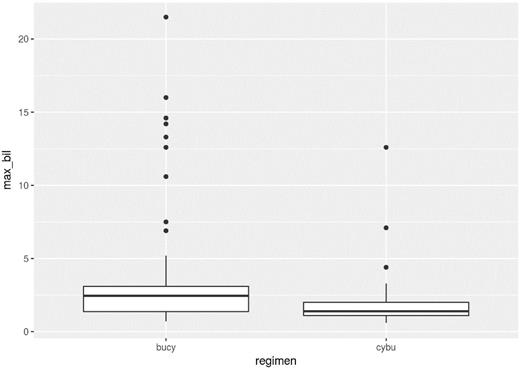
Results:Twenty five patients underwent HSCT with a CY-BU myeloablative conditioning protocol from Jan 2015 to June 2017. They were compared with 56 controls that underwent HSCT with BU-CY as the conditioning protocol during the period immediately before we switched to CY-BU. The median (IQR) age of patients was 17.5 (6.75 - 35.25) years for BU-CY and 14.00 (6.00 - 27.00) years for CY-BU. There were 38 (68%) males in BU-CY and 16 (64%) males in CY-BU group. The diagnosis in both the groups combined were 13 (16%) ALL, 23 (28%) AML, 14 (17%) CML and 31 (38%) Thalassemia and others. The median peak serum bilirubin in the CY-BU cohort was 1.4mg/dl as compared to 2.45mg/dl in the BU-CY cohort (p = 0.006) (Fig-1) and there was also a trend towards lesser transaminitis in the CY-BU group. 12% patients in the CY-BU group developed mild SOS in comparison to 25% in the BU-CY cohort. The incidence of severe SOS was 20% in the BU-CY group as compared to 4% in the CY-BU group. Overall 72% in the CY-BU cohort did not develop SOS as compared to 45% in the BU-CY cohort. The p value for chi square test for overall difference in VOD between both the groups was 0.082. There was no difference in occurrence of GVHD or other regimen related toxicity like hemorrhagic cystitis in the two groups. There was no difference in the D+100 mortality in the two groups (14% (BU-CY) vs 8% (CY-BU), p = 0.517). CY-BU conditioning appears to reduce the rates of SOS in all transplants including Thalassemia patients, in comparision to BU-CY. A larger study in Thalassemia patients is required to confirm our findings.
Conclusions: Reversing the order of administration to cyclophosphamide followed by busulfan (CY-BU) is well tolerated MAC regimen and is associated with significantly less hepatotoxicity. This study limited by smaller number of patients, shows trend towards significantly less incidence of severe SOS and mortality due to SOS with CY-BU regimen. We are aware that our limited number of patients could have effected statistical analysis as far as GVHD and other transplant related mortality issues are concerned. However significant less hepatotoxicity as shown by our study is very important for patients of thalassemia major who due to hepatic iron overload have higher incidence of SOS. There is a need for prospectively studying CY-BU in a larger cohort of patients and comparing with other novel MAC regimens like treosulfan and thiotepa to develop a more effective and safe conditioning regimen.
Figure 1: Box-plot comparing maximum serum bilirubin (max_bil) in peritransplant period in two groups (see text)
No relevant conflicts of interest to declare.
Author notes
Asterisk with author names denotes non-ASH members.

This feature is available to Subscribers Only
Sign In or Create an Account Close Modal